Localización de la curva
La localización de las curvas, que es materializar la curva en campo, se realiza principalmente por tres métodos:
1. Deflexiones
Este es el método más tradicional y se basa en la medición de ángulos de deflexión y distancias.
Un ángulo de deflexión (D) de una curva, es el ángulo formado entre cualquier línea de tangente a la curva y la cuerda medida desde el punto de tangencia a otro punto cualquiera de la curva, como se muestra en la figura.
Figura 1. Ángulo de deflexión.
Fuente: (Vargas Vargas, Gonzalez Vergara, & Rincon Villalba, 2013)
(Para ampliar la imagen haga clic sobre ella)
Por un teorema de geometría se sabe que el ángulo semi inscrito (f) es igual a la mitad del ángulo central (Gs), indiferentemente del punto de tangencia que se tome sobre la curva y se expresaría:
De este método de deflexiones en el medio es conocido calcular los ángulos de deflexión cuando la línea tangente es la misma que el alineamiento, ósea que los puntos de tangencia son el PC y el PT de la curva.
Para estos métodos es necesario conocer la longitud del arco (s), regularmente en Colombia se utiliza 5, 10 o 20 metros, ya que con esto se determinaría la deflexión por arco unidad con base en la siguiente fórmula:
Regularmente las abscisas del PC y el PT no son múltiplos del arco unidad, lo que implica que el primer y el último arco no corresponde al arco unidad si no tiene un valor menor, con lo cual es necesario calcular un valor proporcional de deflexión, denominado deflexión adyacente al PC o PT, con base en la siguiente fórmula:
Donde SPC = Subarco adyacente al PC, el cual se determina restando la abscisa cerrada siguiente en múltiplos del arco menos la abscisa del PC
Con base en la misma fórmula se calcula la deflexión adyacente al PT, solo cambiaría el subarco,
Donde SPT = Subarco adyacente al PT, el cual se determina restando la abscisa del PT menos la abscisa cerrada anterior en múltiplos del arco.
En la figura 10, se presenta las deflexiones de la curva desde el PC, donde
La deflexión al PT (f5), debe ser igual a Delta medios (D/2), este puede tener una variación de acuerdo a las aproximaciones de los ángulos de deflexión parciales.
Figura 2. Deflexiones desde el PC
Fuente: (Vargas Vargas, Gonzalez Vergara, & Rincon Villalba, 2013)
(Para ampliar la imagen haga clic sobre ella)
De la misma manera en la siguiente figura se presenta las deflexiones de la curva desde el PT, donde
La deflexión al PT (f5), debe ser igual a Delta medios (D/2), este puede tener una variación de acuerdo a las aproximaciones de los ángulos de deflexión parciales.
Figura 3. Deflexiones desde el PT
Fuente: (Vargas Vargas, Gonzalez Vergara, & Rincon Villalba, 2013)
(Para ampliar la imagen haga clic sobre ella)
2. Coordenadas cartesianas
Este método consiste en determinar la distancia sobre el alineamiento (x) medido desde el PC y la normal al punto (y), como se aprecia en la figura.
Figura 4. Coordenadas cartesianas
Fuente: (Vargas Vargas, Gonzalez Vergara, & Rincon Villalba, 2013)
(Para ampliar la imagen haga clic sobre ella)
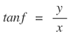
Del triángulo [PO – A – P ], se tiene:
Remplazando:
Despejando (y), se tiene
Del triángulo [PC – P – B ], se tiene
Remplazando,
Despejando (x) se tiene:
Remplazando (y) con la fórmula , se tiene
De la fórmula se tiene que
Ósea que la fórmula también se puede expresar como:
Ángulo y distancia desde el PI
Este método consiste en el cálculo de los elementos para localizar la curva desde el PI, estos elementos son ángulos (a) y la distancia (d), como se muestra en la figura
Figura 5. Deflexión desde el PI.
Fuente: (Vargas Vargas, Gonzalez Vergara, & Rincon Villalba, 2013)
(Para ampliar la imagen haga clic sobre ella)
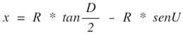
Del triángulo [ B – P – PI ], se tiene que
Del triángulo [ PO – A – P ], se tiene
Remplazando,
Despejando (y), se tiene
Del mismo triángulo [ PO – A – P ], se tiene
Remplazando,
Despejando (x), se tiene
Conociendo que la Tangente es
Remplazando se tiene que (x) es
Simplificando;
Con base en las el valor de (x) y (y) remplazando se tiene que el ángulo es igual a :
Por lo tanto el ángulo (a) es igual a :
Si al calcular el ángulo es negativo, se debe convertir en positivo sumándole 180 grados.
Del triángulo [ B – P – PI ], se tiene que
Remplazando la fórmula de (x) y (y) se tiene:
Simplificando
3. Coordenadas planas
De la cartera de alineamiento se tienen los azimut de entrada y salida, las coordenadas del PI, como se muestra en la siguiente figura.
Figura 6. Coordenadas Puntos Principales
Fuente: (Vargas Vargas, Gonzalez Vergara, & Rincon Villalba, 2013)
(Para ampliar la imagen haga clic sobre ella)
De topografía se conoce que para algunos cálculos es necesario conocer los contraazimut de las líneas, el contraazimut es el azimut en el otro sentido, por fórmula el contraazimut se determina con las siguientes dos reglas:
- Si el azimut es menor de 180 grados, el contraazimut es igual al valor del azimut más 180 grados
- Si el azimut es mayor de 180 grados, el contraazimut es igual al valor del azimut menos 180 grados
Lo primero es determinar las coordenadas de los puntos principales de la curva, con base en las coordenadas del PI, se determinan las coordenadas del PC y PT con base en los azimutes de los alineamientos y la Tangente (T), con en las siguientes fórmulas:
Coordenadas del PC
Coordenadas del PT
Conociendo que la línea entre el [PO – PC ] es perpendicular al alineamiento, ósea que se forman ángulos de 90 grados, como se muestra en la siguiente figura
Figura 7. Coordenadas Punto Central de la Curva
Fuente: Elaboración Propia
(Para ampliar la imagen haga clic sobre ella)
Con base en el azimut de entrada se calcula el azimut de la línea [PC – PO ], con la siguiente fórmula:
La anterior fórmula si la curva es derecha, si la curva es izquierda se debe sumar 270 grados.
Con base en este azimut y el radio, basándose en las coordenadas del PC se calculan las coordenadas del Punto central (PC), con base en las siguientes fórmulas:
Coordenadas del PO
Para calcular las coordenadas de los puntos de la curva, es necesario calcular el azimut de la línea entre el PO y cada punto, esto con base en el ángulo central formado, como se muestra en la siguiente figura.
Figura 8. Coordenadas Planas de los puntos de la curva
Fuente: Elaboración Propia
(Para ampliar la imagen haga clic sobre ella)
Para determinar el azimut del punto se calcula con la siguiente fórmula:
Conociendo que el ángulo (U) es l doble del ángulo deflexión al punto
Con el azimut a cada punto y conociendo que a cada punto la distancia desde el centro de la curva es el radio, las coordenadas de cada punto de la curva se determina con las siguientes fórmulas:
Coordenadas del Punto
Las anteriores fórmulas cuando la curva sea derecha, si es izquierda, el ángulo U es negativo o la formula cambian por negativo.
Con Base en las coordenadas de los puntos, se localiza la curva utilizando los métodos de replanteo por coordenadas.
